Образование » Формирование здорового стиля жизни школьников в процессе физического воспитания » Три группы здоровья

Три группы здоровья

Страница 2

Двигательные режимы для детей с ослабленным здоровьем рекомендуется выполнять при ЧСС 120—130 уд./мин, с постепенным увеличением интенсивности физических нагрузок в основной части урока и частоты пульса до 140—150 уд./мин.

Двигательные режимы при ЧСС 130—150 уд./мин являются оптимальными для кардиореспираторной системы в условиях аэробного дыхания и дают хороший тренирующий эффект.

Учитель физической культуры контролирует нагрузку по пульсу, дыханию и внешним признакам утомления детей.

Кроме уроков используются и другие формы физического воспитания учащихся с отклонениями в состоянии здоровья: утренняя гигиеническая гимнастика; гимнастика до уроков, физкультурные минутки во время общеобразовательных уроков; физкультурные паузы во время выполнения домашних заданий; подвижные игры небольшой интенсивности на переменах, различные спортивные развлечения на свежем воздухе в летнее и зимнее время года и др.

В работе использованы следующие методы исследования:

1.Теоретический анализ научно-методической и специальной литературы

2.Тестирование

3.Педагогический эксперимент;

4.Методы математической статистики.

1.Теоретический анализ научно-методической и специальной литературы.

Теоретический анализ и обобщение. Изучение литературных данных проводилось для оценки состояния проблемы, определения задач исследования и сопоставления имеющейся информации с результатами экспериментальных исследований. Перечень изученных источников представлен в списке литературы, изложенной в курсовой работе.

2.Тестирование. В эксперименте были использованы тесты для диагностики сформированности знаний о ЗОЖ

1.«Отношение детей к ценности здоровья и здорового образа жизни» (Лысова Н.Ф)

2. Самооценка уровня здоровья учащимися (Вайнер Э.Н., Волынская Е.В.)

3. «Мотивы занятий спортивным скалолазанием»( Белякова А.В.)

3.Педагогический эксперимент.

Педагогический эксперимент был организован и проведен на третьем этапе в рамках учебного процесса.

4.Методы математической статистики.

Широко применяется для обработки полученных в ходе исследования данных, их логический и математический анализ для получения вторичных результатов, т.е. факторов и выводов, вытекающих из интерпретации переработанной первичной информации.

При обработке полученных результатов вычислялись следующие показатели:

a. Показатели среднего арифметического Х

В работе мы использовали формулу для вычисления средней арифметической величины для каждой группы в отдельности:

0(3)

где Хi – значение отдельного измерения; n – общее число измерений в группе.

b. Дисперсию по формуле:

c. Формулу для вычисления стандартной ошибки среднего арифметического значения (m) по формуле:

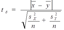
d. Для оценки достоверности различий средних показателей использовался:

t критерий Стьюдента -

где n - объем выборки,

сумма,

х, у - экспериментальные данные,

Sx, Sy - дисперсии.

С помощью методов статистической обработки экспериментальных данных непосредственно проверяются, доказываются или опровергаются гипотезы, связанные с экспериментом.

Экспериментальное исследование особенностей диагностики сформированности знаний о ЗОЖ проводилось на базе школы №32. Выборка составила 20 человек, учащиеся 3 класса.

Контрольная и экспериментальная группа по 10 человек.

Работа проводилась с ноября 2012г по май 2013г и состояла из трех этапов.

На первом этапе исследования в конце декабря 2012года была проведена работа по изучению литературных источников и первоначальное тестирование для проверки уровня подготовленности и составлении групп для эксперимента.

Следующий этап январь 2013г. предполагал педагогический эксперимент, который заключался в использовании и приемов, соответствующих возрастному развитию школьников, а именно игры, викторины, конкурсы, праздники, уроки здоровья, спортивные соревнования для развития формирование здорового стиля жизни школьников в процессе физического воспитания а дети контрольной группы занималась по общепринятой стандартной программе. Подбор игровых заданий обсуждали совместно с учителем физической культуры. Сами уроки проводил учитель физической культуры.

Страницы: 1 2 3 4

Похожие публикации:

Зарождение воспитания в первобытном обществе
Обращение к проблеме происхождения воспитания не только обусловлено логикой научного знания, но и продуктивно, по крайней мере, в двух отношениях: во-первых, оно дает представить себе и понять сущность воспитания в реальности конкретно-исторических событий; во-вторых, осмысление этой проблемы позво ...

Социально-педагогическая защита детей-сирот в России
История детского призрения в России свидетельствует о том, что стремление помочь ближнему, особенно детям-сиротам и убогим, было одной из традиционных особенностей русского национального характера. Сложившаяся в течение многих веков система детского призрения по-своему уникальна. В России первый пр ...

Результативность использования аналитико-синтетического метода обучения письму учащихся младших классов в школе для детей с тяжёлыми нарушениями речи
Для оценки эффективности и результативности использования аналитико-синтетического метода обучения письму использовался тот же материал для обследования письма, в исследования принимали участие те же 10 учащихся школы для детей с ТНР (с целью получения достоверных результатов и выявления степени эф ...

Возрастные особенности внимания

Возрастные особенности внимания

Внимание - это особое свойство человеческой психики. Оно не существует самостоятельно - вне мышления, восприятия, работы памяти, движения. Нельзя быть просто внимательным - можно быть внимательным, только совершая какую-либо работу.

Категории

Copyright © 2026 - All Rights Reserved - www.eduriver.ru